清远2021年高考体育类一分一段表 清远市高考最高分

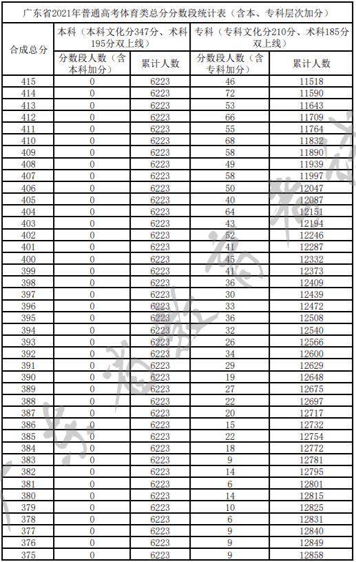
广东省2021年普通高考体育类总分分数段统计表(含本、专科层次加分)
一、填报方式
2021年普通高校招生实行网上填报志愿。考生可自行上网或到中学(报名点),凭考生号和密码登录广东省教育考试院高考志愿填报系统填报志愿,并在规定时间内完成网上志愿确认。
(一)填报网址:https://pg.eeagd.edu.cn/ks
(二)志愿确认
今年不设现场签名确认环节。考生通过手机短信验证码进行网上志愿确认,凭报名时绑定的手机号码接收短信验证码。投档录取以考生网上最终确认的志愿为依据。为确保志愿信息准确,保护自身权益,考生务必妥善保管好自己的考生号、密码、手机短信验证码,不得委托他人填报志愿。
二、填报时间
填报志愿分两个时段进行,具体如下:
第一时段:6月27日10:00—6月28日16:00。本时段仅填报需政审、面试、体检的提前批本科军队、武警、司法、消防、飞行技术、公安等院校专业组志愿,提前批专科司法等院校专业组志愿,报考上述院校专业组志愿的考生须在本时段填报并进行网上确认志愿信息。其他志愿需在第二时段填报。
第二时段:6月28日19:00—7月3日16:00。除第一时段填报的院校专业组志愿外的其他所有各批次、各科类(普通类、艺体类等)院校专业组志愿,均需在本时段填报并进行网上确认志愿信息。
