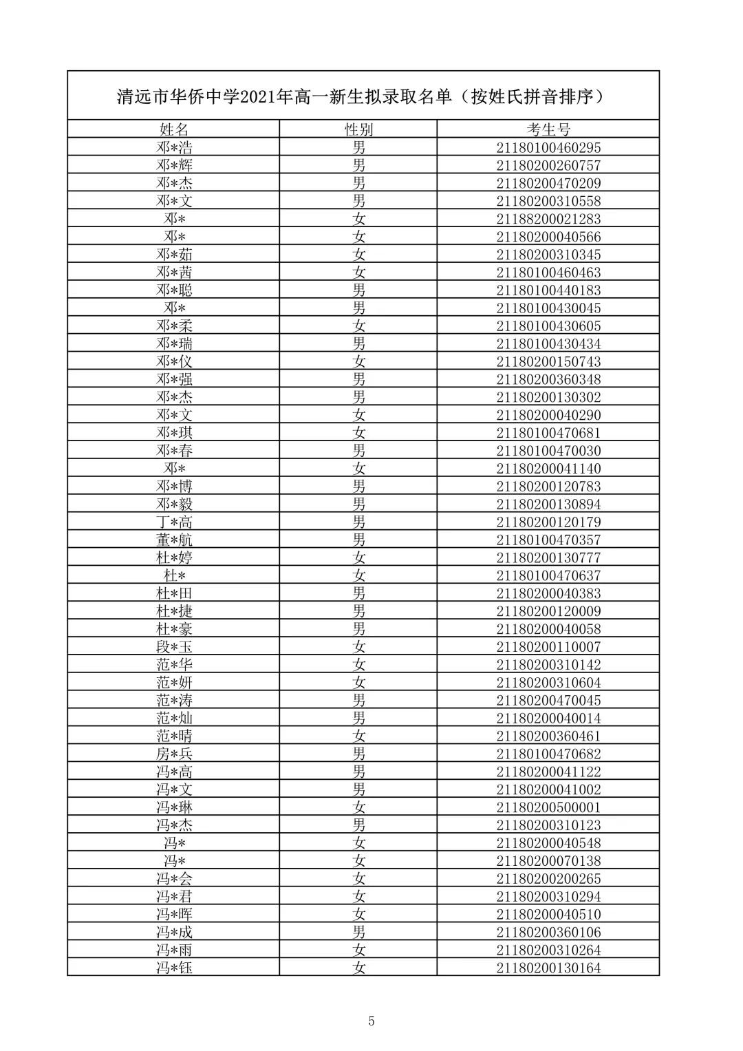
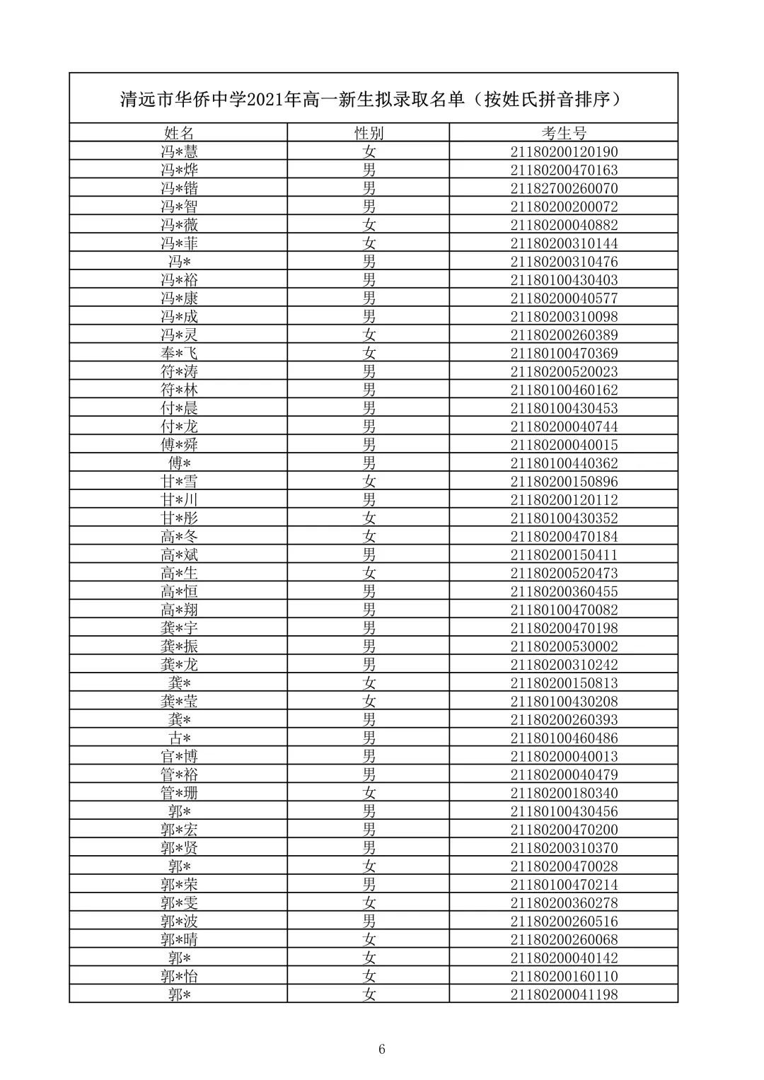
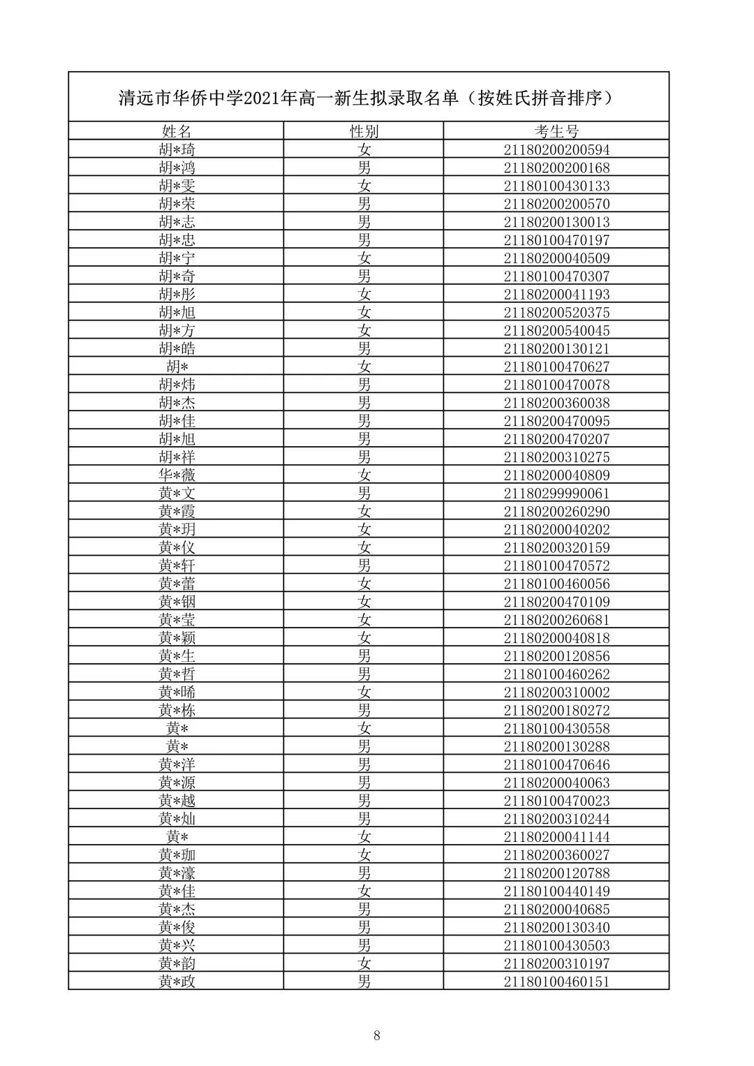
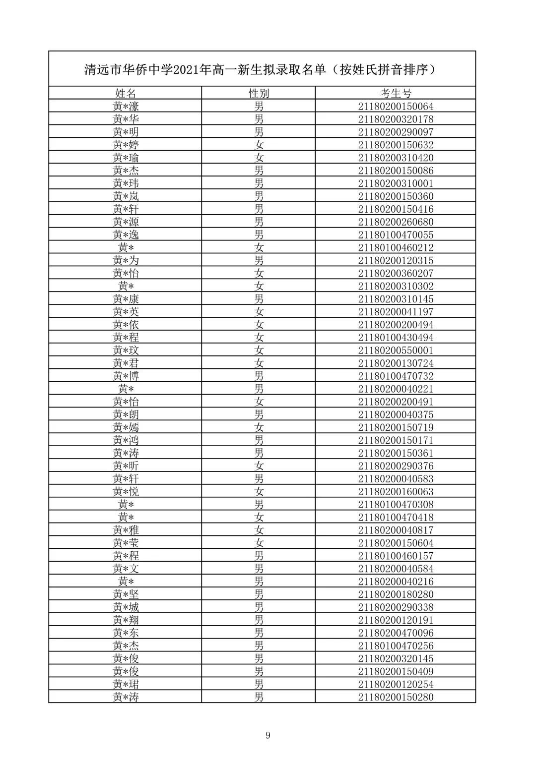
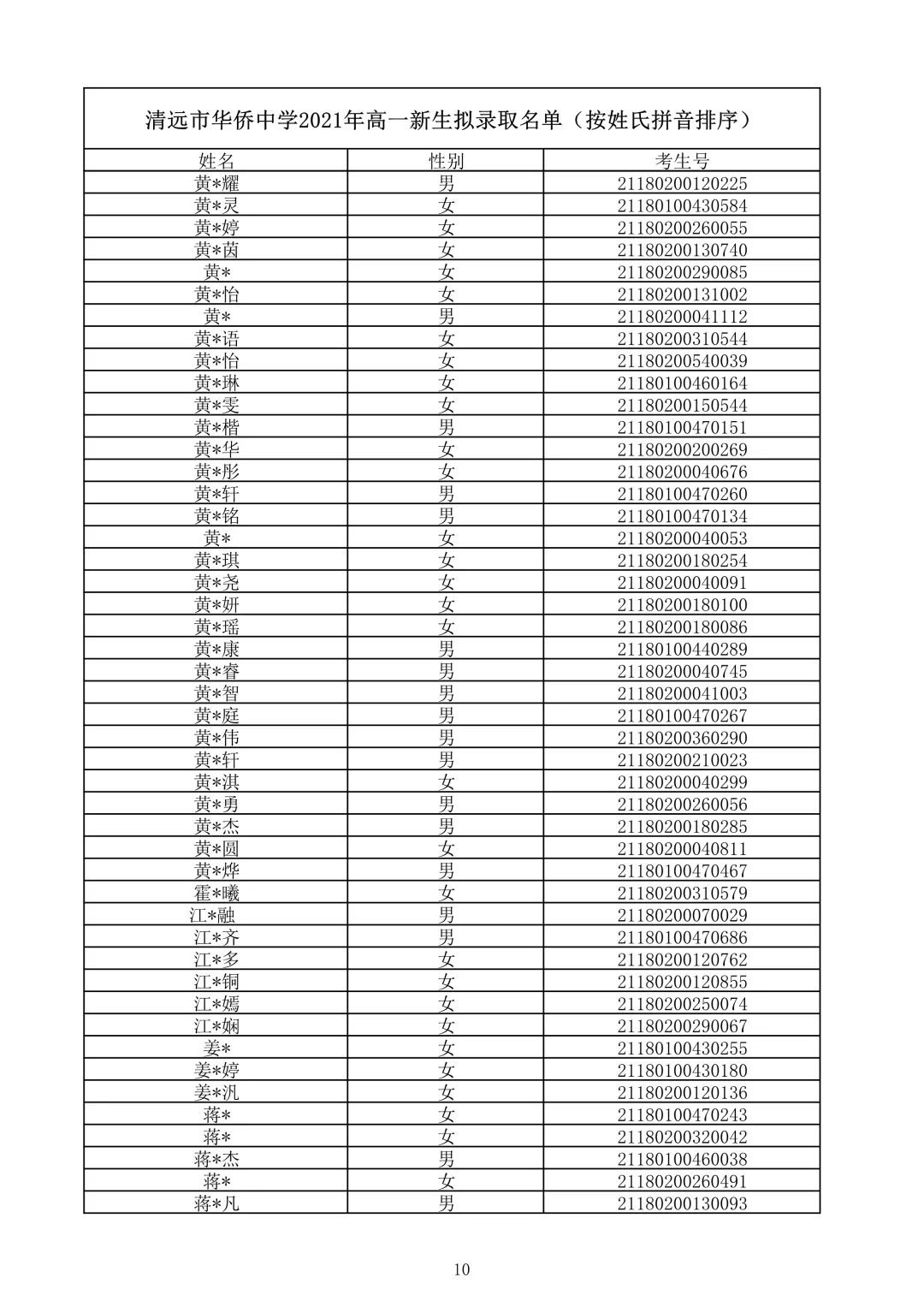
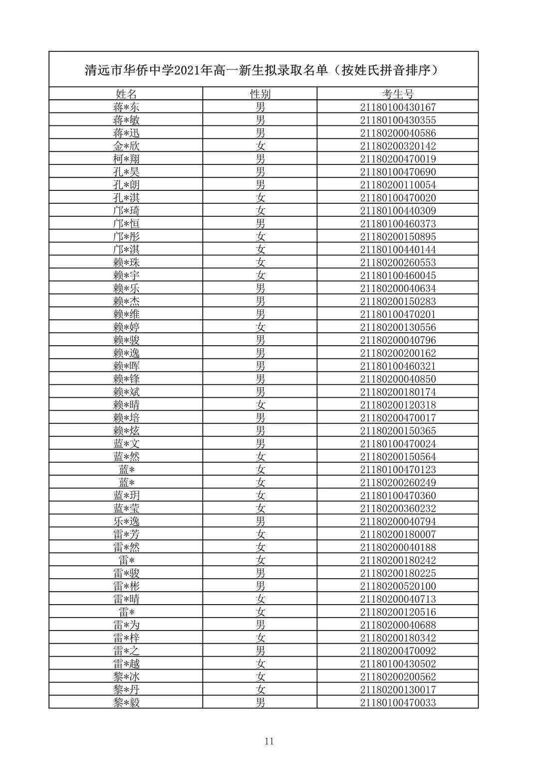
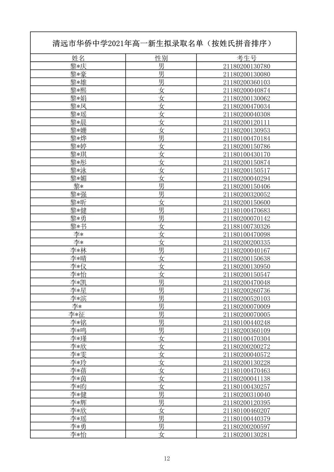
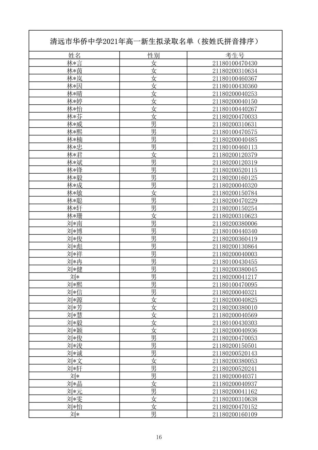
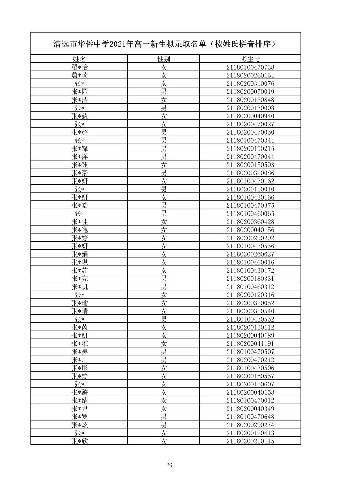
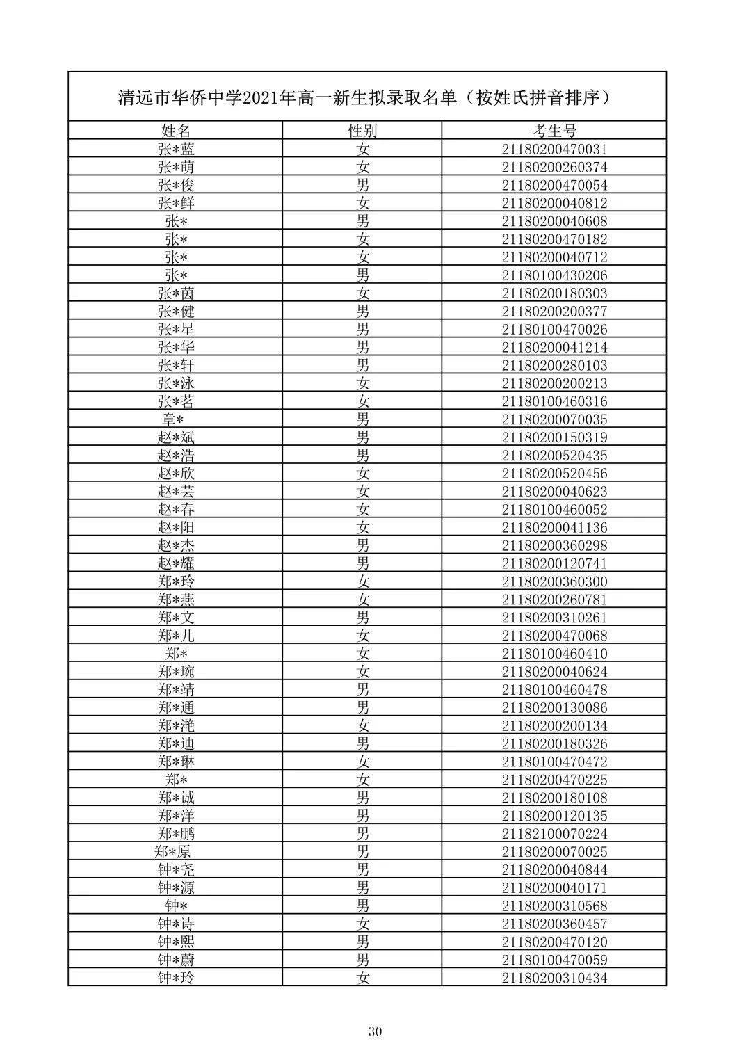
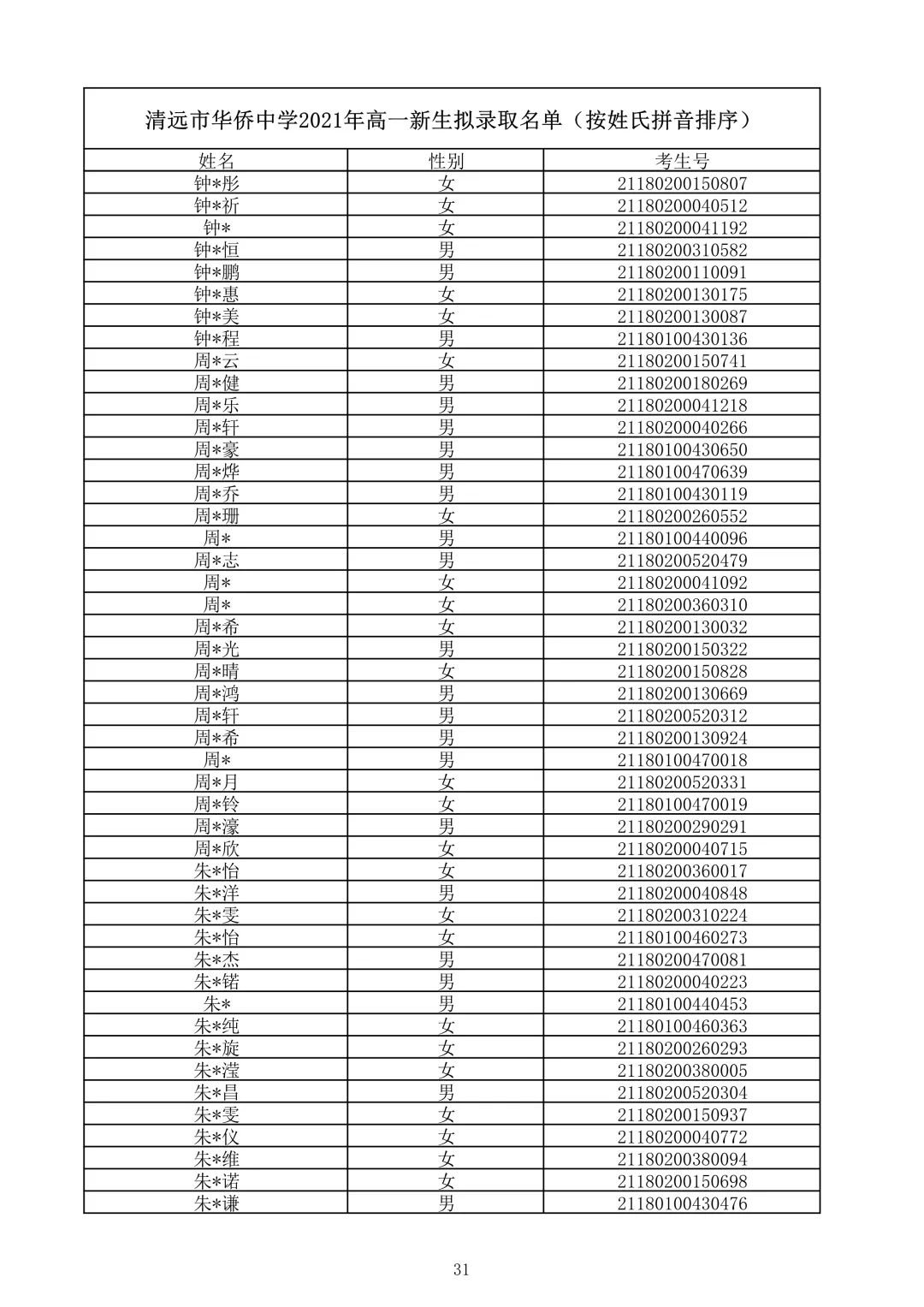
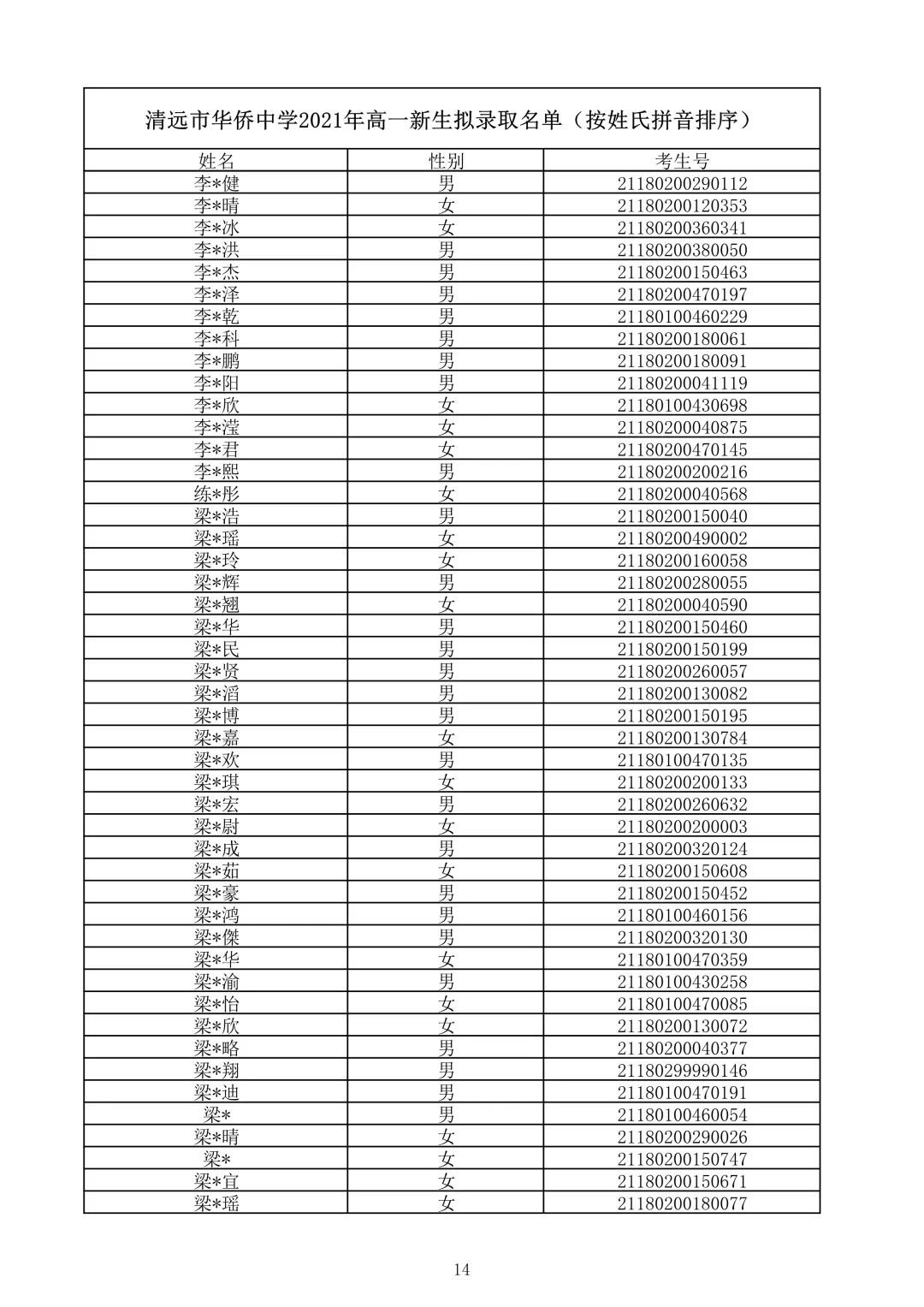
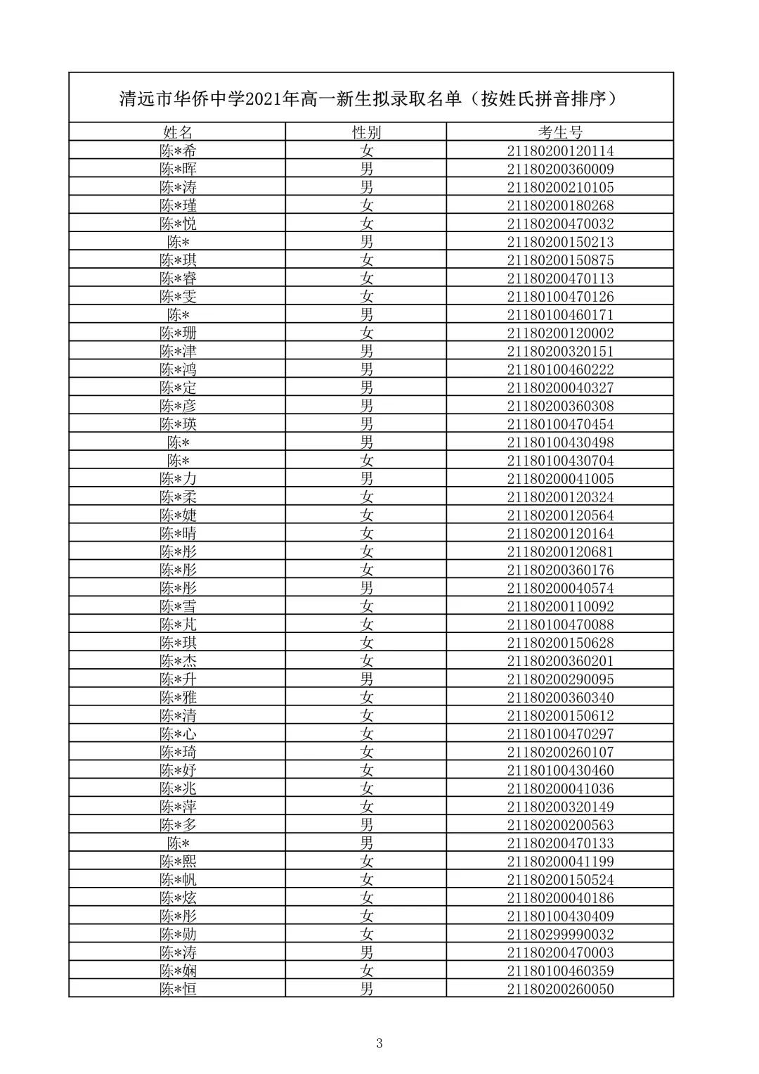
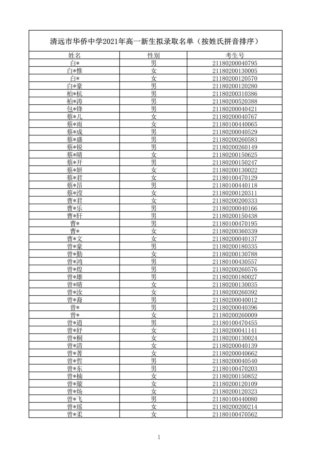
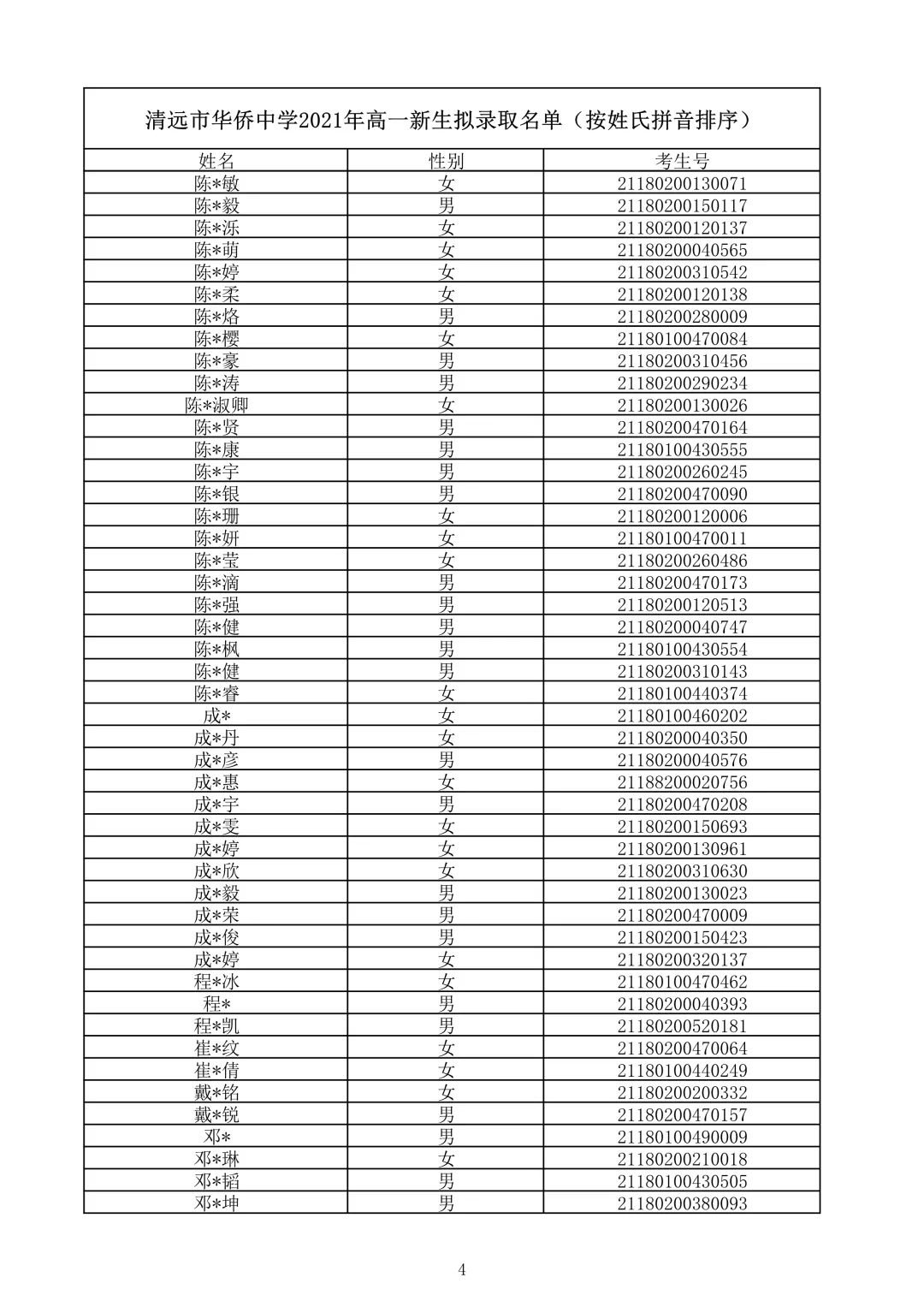
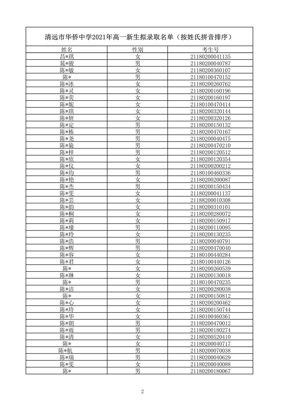
清远市华侨中学2021录取查询 清远市华侨中学2021招生

一、 注册时间
2021年7月17—18日 上午8:00—11:30;下午14:00—17:00
二、注册流程
1.前往行政楼一楼填表处填写注册登记表。2.按片区核实名单,领取录取通知书、衔接教材、成长指南、健康记录卡、社会实践表格等资料。3.到相应的片区交费注册,录入组录入新生信息。4.前往行政楼旁帐篷处办理电子学生证(是否存钱自愿)。5.收费标准:学杂费980元、住宿费550元(手机扫码缴费)。 备注:行政楼一楼设有免学费办理咨询点,如有需要可前往咨询。
三、注册需带的资料
1.身份证和准考证。 2.免学费办理需另带的证件:符合条件脱贫家庭学生证明、农村低保证、农村特困救助证、学生本人残疾证。
四、家长进出校园及防疫要求
开车的家长要从学校南门进出,把车辆停在学校广场等指定位置。
防疫要求:由于目前仍处于疫情防控期间,前来注册的学生和陪同的家长要提前注册“粤康码”,入校门时需查看“粤康码”和进行体温检测才能入校,每位学生最多由一位家长陪同。
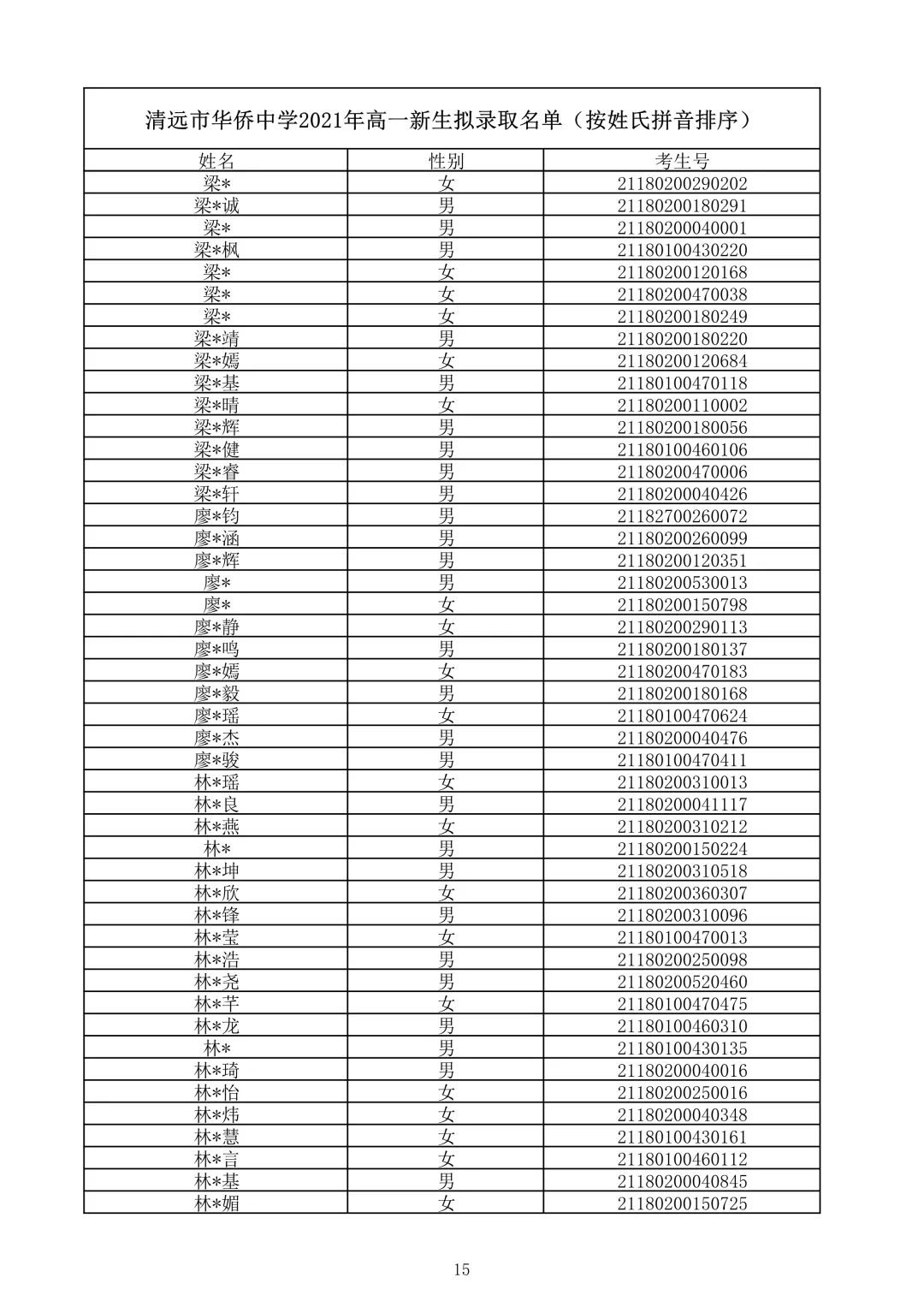
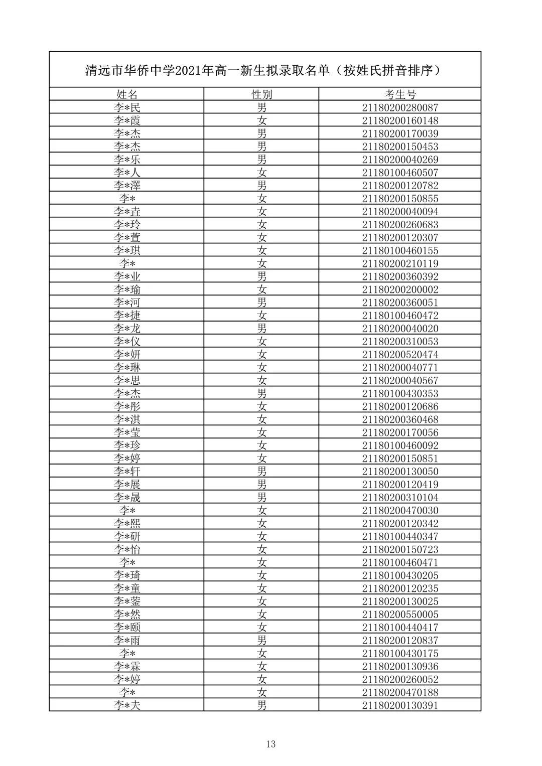
五、录取查询方式
通过网址 https://611184.yichafen.com,或扫码查询,输入考生姓名及准考证即可查询结果,如查询不到结果即未被我校录取。
























