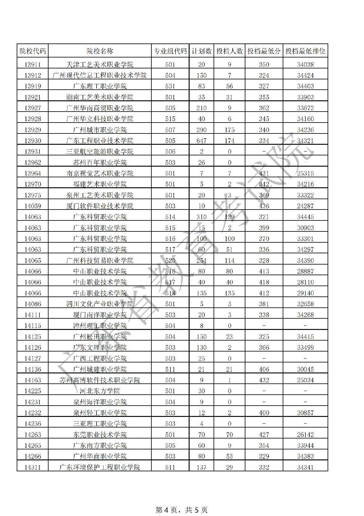
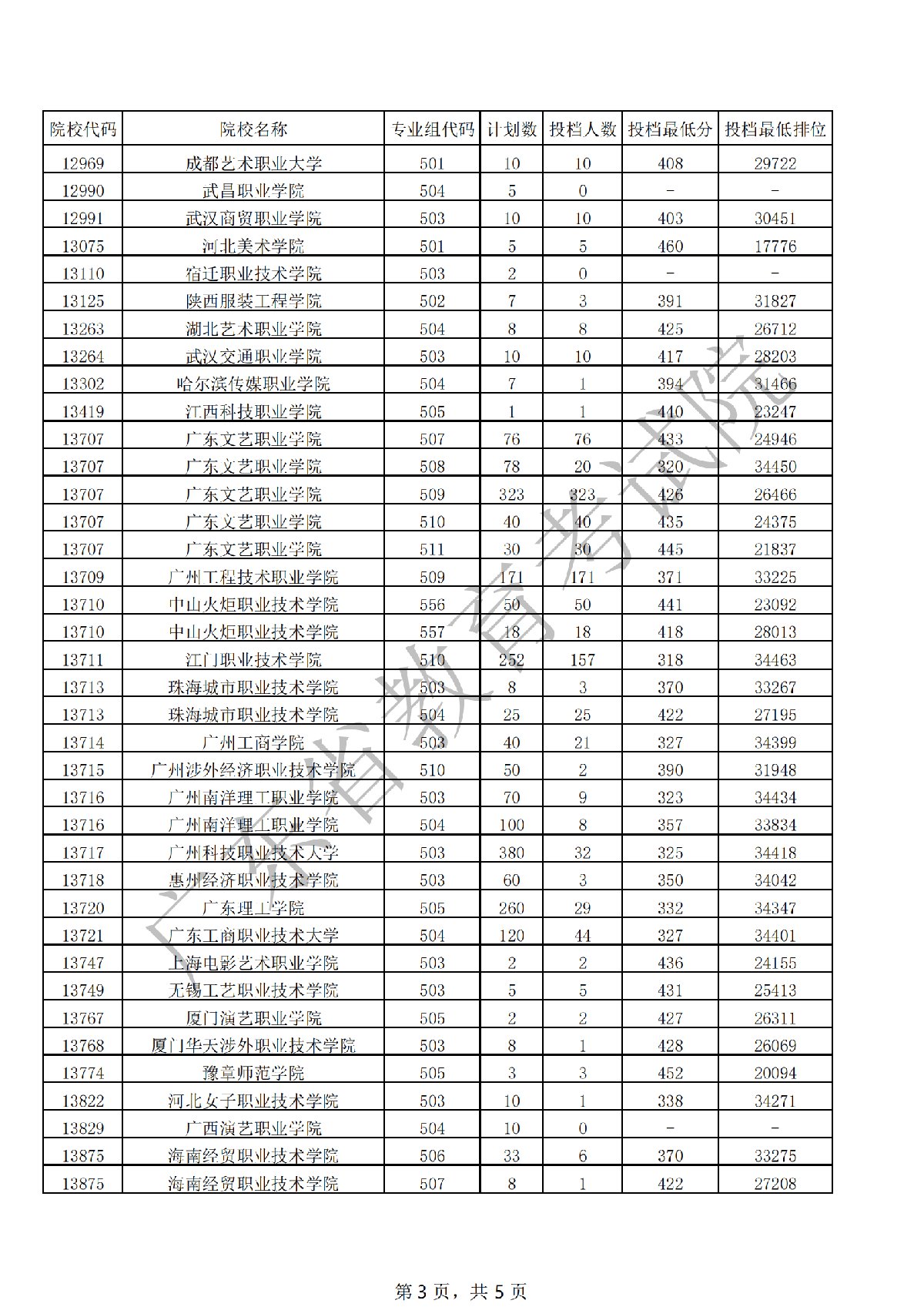
2021年广东专科美术类统考投档情况 2021年广东专科美术类统考投档情况怎么样

广东省专科征集志愿填报分数条件
省外院校。按《关于公布广东省2021年普通高校招生录取最低分数线的通知》(粤招〔2021〕5号)执行。
省内院校。
1.专科农村卫生人才专项计划
普通类(历史):总分428分。
普通类(物理):总分412分。
2.其他专科计划
普通类(历史):总分130分。
普通类(物理):总分130分。
体育类:文化科总分130分,体育术科165分。
美术类:文化科总分130分,美术术科150分。
音乐类(含音乐学、音乐表演-声乐、音乐表演-器乐):文化科总分130分,音乐术科150分。
舞蹈类:文化科总分130分,舞蹈术科150分。
广播电视编导类:文化科总分280分,广播电视编导术科150分。
书法类:文化科总分130分,书法术科150分。
符合上述条件且未被录取的考生可参与本次征集志愿。
